回答(1)
最佳
黄石2023-10-09 09:44:46
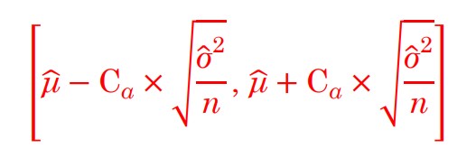
同学你好。没有看到同学说的2.53%。这道题可以这么去解,根据置信区间的公式(见下图),列方程:
Xbar - 2.57*standard error = 2.32%
Xbar + 2.57*standard error = 12.78%
解方程:
2.32% + 2.57*standard error = 12.78% - 2.57*standard error -> standard error = (12.78% - 2.32%)/(2*2.57) = 2.035%
Xbar = 2.32% + 2.57*2.035% = 7.55%。
- 评论(0)
- 追问(0)
评论
0/1000
追答
0/1000
+上传图片

