ml2023-10-08 00:33:01
可以详细讲一下inflation对fx 的影响吗?这里有点晕了
回答(1)
Adam2023-10-08 09:39:39
同学你好,这里的基本思想是:通胀货影响价格。
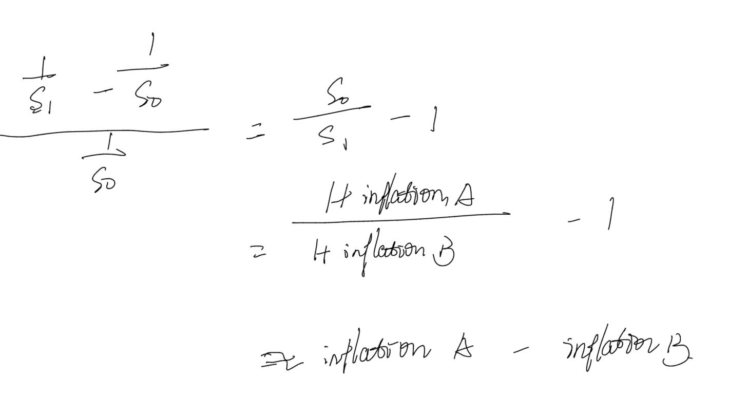
如果期初汇率水平是:1A=S0个B,期末是1A=S1个B.
假设A国的通胀率为ra,B国的通胀率为rb,AB两国的即期汇率为S0,也就是A国的1块钱等于B国的S0块钱。一年后的汇率为ST。那么一年后A国的1块钱由于通胀率的影响变成了1*(1+ra)这么多,B国的S0块钱变成了S0*(1+rb)这么多,然后再换成A国的货币就是S0*(1+rb)/ST,那么如果不存在套利空间,这两者是相等的,即:1+ra=S0*(1+rb)/ST,变换一下:ST/S0=(1+rb)/(1+ra)。
现在问的是:percent strengthening of domestic spot rate。
即domestic spot rate,应该是1/S0。如下图:得到通胀之差与汇率之间的大致关系
- 评论(0)
- 追问(0)
评论
0/1000
追答
0/1000
+上传图片

