13****522023-10-04 12:50:35
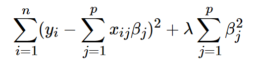
1、这里圈出来的Yj^到底是什么呀?能说明白一下吗?真实值还是拟合值?如果是拟合值,是哪个模型算出来的拟合值? 2、第一个求和符号的范围,是i=1~n,可后面的表达式都没有i,那它是在对什么求和?
回答(1)
最佳
黄石2023-10-05 22:30:08
同学您好。
1. 这里是原版书上打印有误,应为y_j,这里实际计算的是Residual sum of square,y_j - y^_j = (y_i - (a^ + b1^*x1_j + ...))。见下图(这边用i还是j不重要,含义相同)。
2. 这里是课件上打印有误,应为j = 1 - n。造成的不便还请谅解。
- 评论(0)
- 追问(0)
评论
0/1000
追答
0/1000
+上传图片


