13****522023-10-03 09:04:54
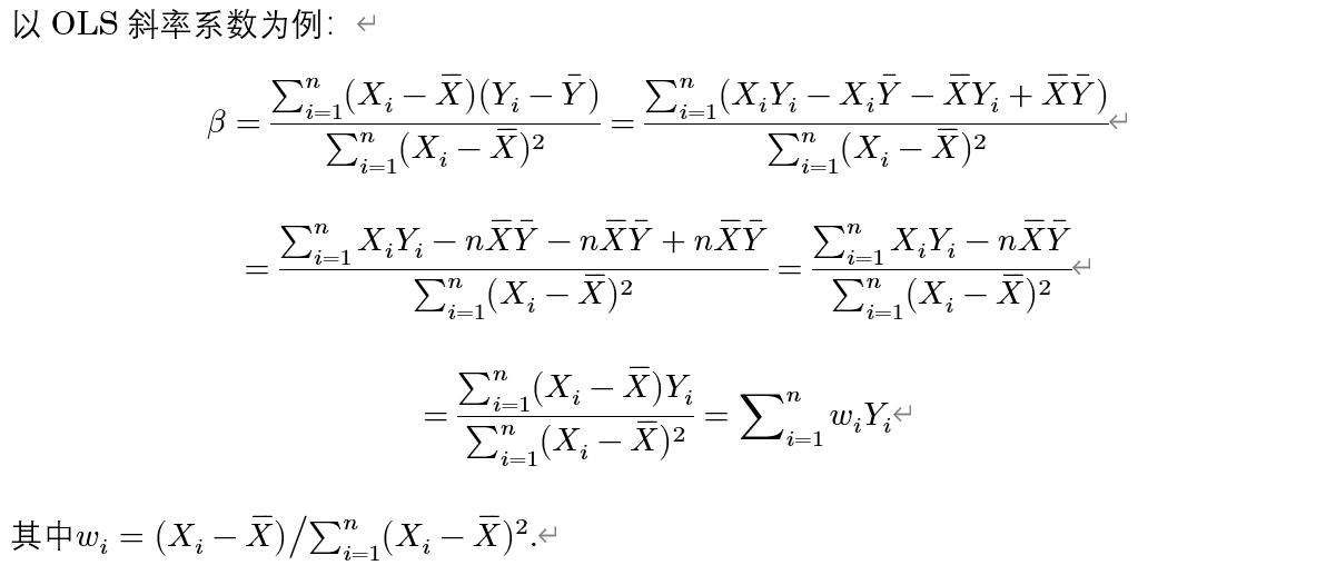
一元回归中b的估计,通过OLS方法,说是BLUE估计量,其中的线性,是对于X来说的吧?可b的计算公式,协方差除以方差,怎么看都不是一个线性的东西吧?
回答(1)
最佳
黄石2023-10-03 10:27:57
同学您好。OLS估计量的“线性”是对于Y来说的。详见下图。同学只需要记忆OLS估计量是线性估计量这一结论,无需深究,超纲了。
- 评论(0)
- 追问(0)
评论
0/1000
追答
0/1000
+上传图片

