柒同学2023-09-12 21:02:52
为什么第四季度是-15.79
回答(1)
黄石2023-09-13 09:31:20
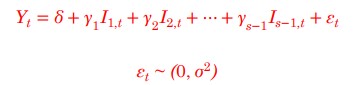
同学你好。对于确定性季节性(Deterministic seasonality),其建模方法(哑变量法)如图1所示。其中I_j,t 是哑变量,当时间序列处于第 j 期时取值为 1,在其它任何时期取值均为 0。δ 衡量第 s 期的 Yt 的平均值/期望值;γ_j 衡量第 j 期与第 s 期的Yt 平均值/期望值之差。这可从图2中看出。在这道例题中,s = 4(即一年中共有4期),第四季度的期望就等于δ,也就是-15.79。对于确定性季节性的建模需要同学记住哈~
- 评论(0)
- 追问(0)
评论
0/1000
追答
0/1000
+上传图片



