回答(1)
Adam2023-08-02 17:35:20
同学你好,没懂你的问题。
货币互换就是一种呀:固定换固定。
货币互换的价值方式计算主要有两种:债券组合法、远期汇率法。
但无论哪种方法,得出的结果都是一样的呀。
这题就是。
- 评论(0)
- 追问(5)
- 追问
-
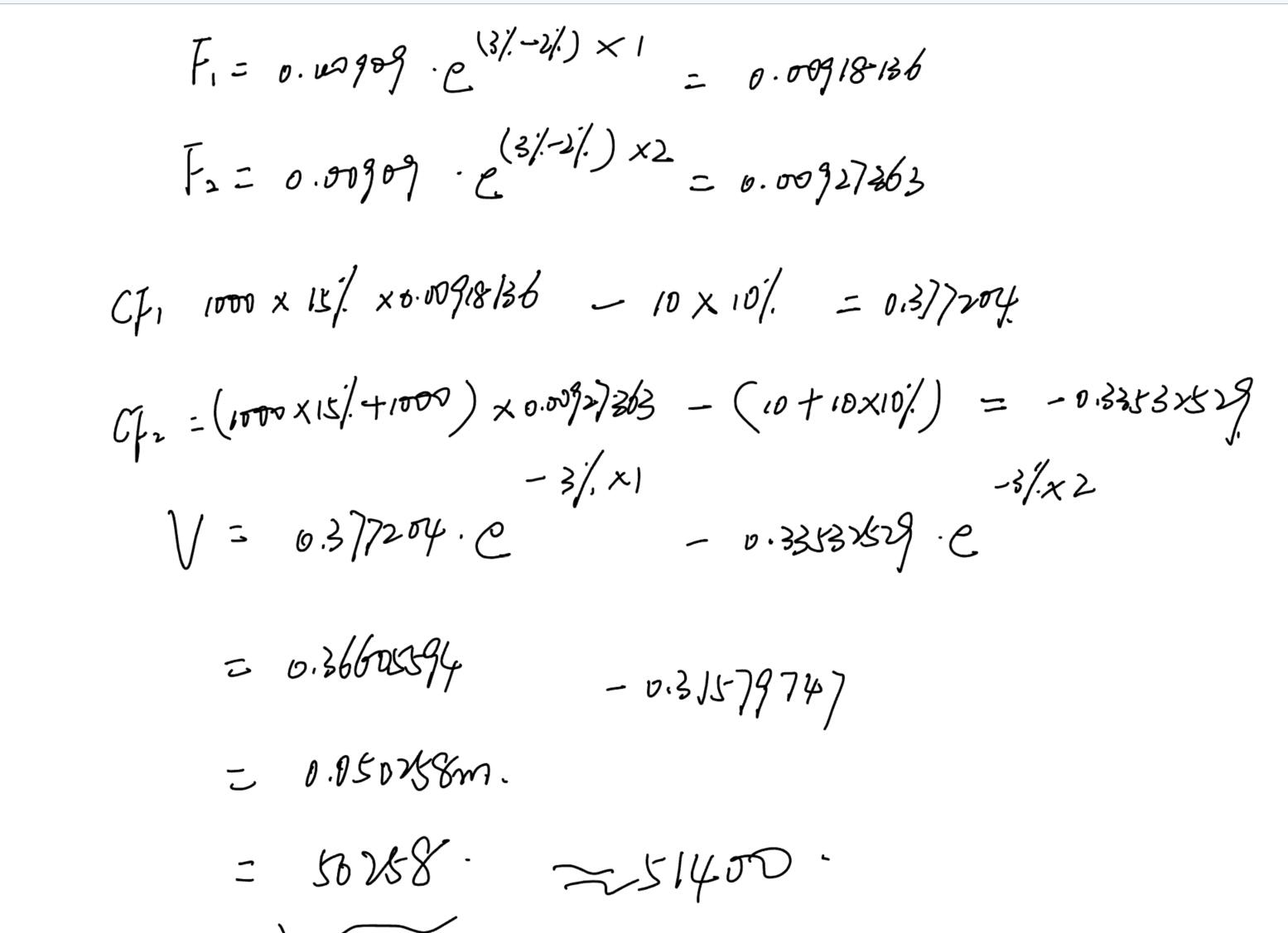
两种方法都可以用对吗?能帮我看看我用第二种方法错哪了吗?
- 追答
-
全错。
1:连续复利。
2:利息交换错了
- 追问
-
不是一日元等于110美元吗?bondJPY为什么是除以110?
- 追问
-
我懂了
- 追答
-
好的
评论
0/1000
追答
0/1000
+上传图片


