joyyy2023-08-01 23:23:00
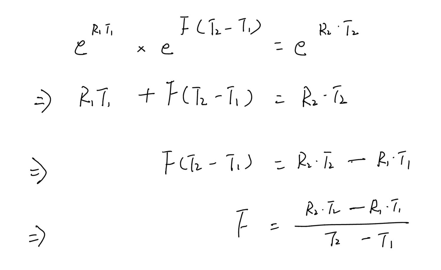
官网上的一道题,这道题目明明说是按连续复利,为什么算3-4年的远期利率是答案这么算?
回答(1)
最佳
Adam2023-08-02 11:44:51
同学你好,这就是连续复利计算利率时的变形啊。
- 评论(0)
- 追问(0)
评论
0/1000
追答
0/1000
+上传图片


