天堂之歌

听歌而来,送我踏青云〜

您现在的坐在位置:首页>智汇问答>FRM问答

Haiming2023-07-31 19:15:52

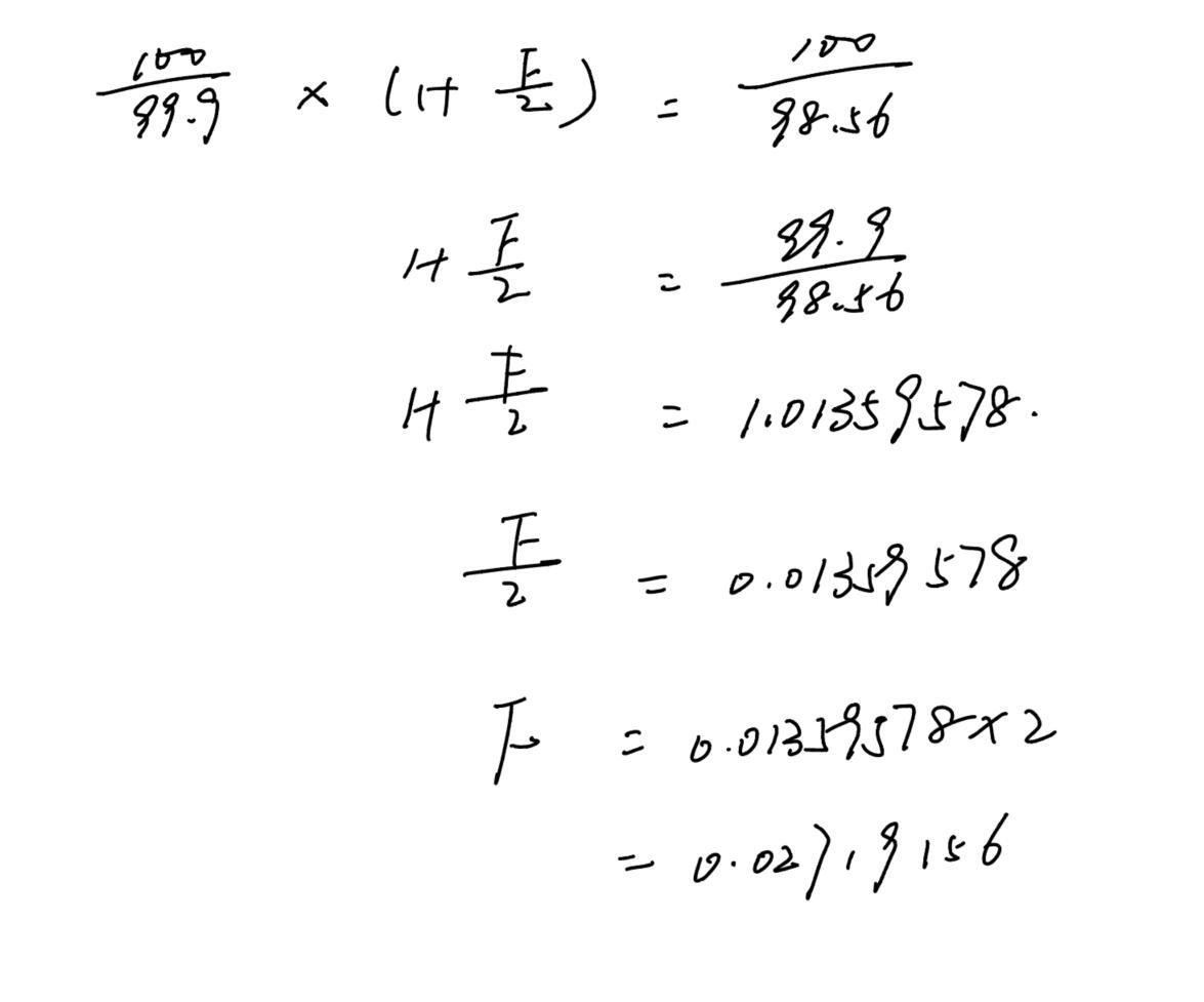
100/99*(1+f/2) = 100/98.56,怎么能算出来F=2.72%呢?

查看试题

回答(1)

Adam2023-07-31 21:06:58

同学你好,仔细读题,第一个价格是99.9【而非99】.

  • 评论(0
  • 追问(0
评论

精品推荐

评论

0/1000

追答

0/1000

+上传图片

    400-700-9596
    (每日9:00-21:00免长途费 )

    ©2026金程网校保留所有权利

    X

    注册金程网校

    验证码

    同意金程的《用户协议》
    直接登录:

    已有账号登录