李同学2023-07-31 09:23:52
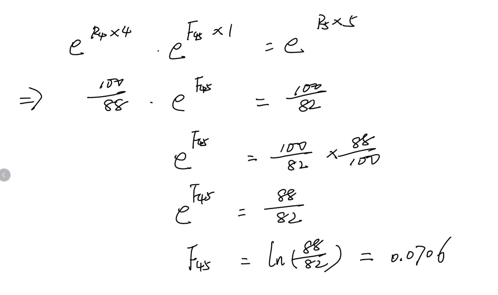
e负r4乘以4,bond 1 bond2都有 怎么计算出F4,5?
回答(1)
最佳
Adam2023-07-31 12:25:34
同学你好,如图
- 评论(0)
- 追问(0)
评论
0/1000
追答
0/1000
+上传图片



