吹同学2023-07-25 14:26:12
请问这个题怎么做?
回答(1)
Tom2023-07-26 10:46:32
同学您好~
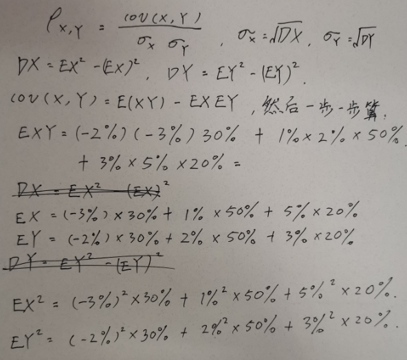
这道题就是求个相关系数,由于涉及到联合概率,所以计算和普通的相关系数不一样,不方便直接拿计算器计算。
最好的方法是先画张表,得出随机变量的边缘概率分布(图的最后一列和最后一行),然后按照要求进行计算,我把大致步骤写了一下,你可以做参考。
如果对回答满意,请给我点个【采纳】,祝您学习愉快~
- 评论(0)
- 追问(0)
评论
0/1000
追答
0/1000
+上传图片



