天堂之歌

听歌而来,送我踏青云〜

您现在的坐在位置:首页>智汇问答>FRM问答

Tonny2023-07-17 16:43:18

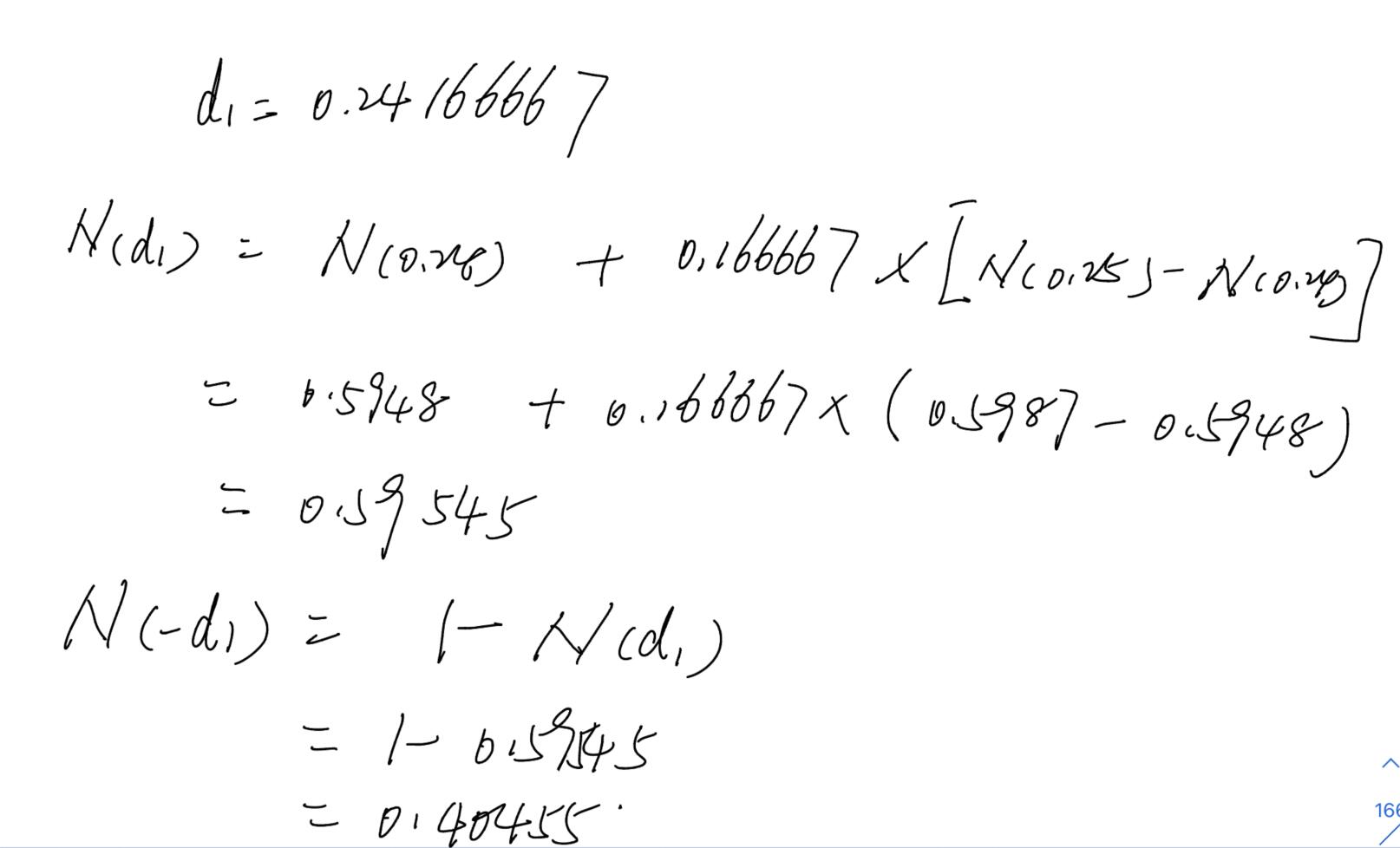
请问这个d1算出来之后查的是z表对吗 为什么查出来0.24对应0.5948和答案差的很多(哪怕用插值法也不对啊

查看试题

回答(1)

Adam2023-07-17 17:40:53

同学你好,
是的呀。
请仔细审题,这是个put,公式里是N(-d1).

  • 评论(0
  • 追问(0
评论

精品推荐

评论

0/1000

追答

0/1000

+上传图片

    400-700-9596
    (每日9:00-21:00免长途费 )

    ©2026金程网校保留所有权利

    X

    注册金程网校

    验证码

    同意金程的《用户协议》
    直接登录:

    已有账号登录