李同学2023-07-11 10:46:33
想问一个问题就是求和为什么是n个sample 不是n-1个sample呀,还有就是求E[S^2]时的probability是1/n还是1/n-1呢
回答(1)
Tom2023-07-12 17:07:09
同学您好~
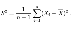
样本方差最准确的公式我给你放图中了。
连加符号中的n表示一共有n个样本值,或者是n个随机变量。分母处的n-1是指自由度是n-1。自由度是指可以自由变换数值的变量的个数(即独立变量)。在样本方差公式中,受样本平均值的影响,可以自由变换数值的变量个数为n-1个,除以n-1的话,E(S^2) = DX,估计的效果最好。当然用n也行,不过效果差一些。其实只记公式就行,这部分内容不需要掌握。
如果对回答满意,请给我点个赞~ 您的认可是我最大的动力,祝您学习愉快~
- 评论(0)
- 追问(0)
评论
0/1000
追答
0/1000
+上传图片


