Chelsea2023-07-04 15:46:07
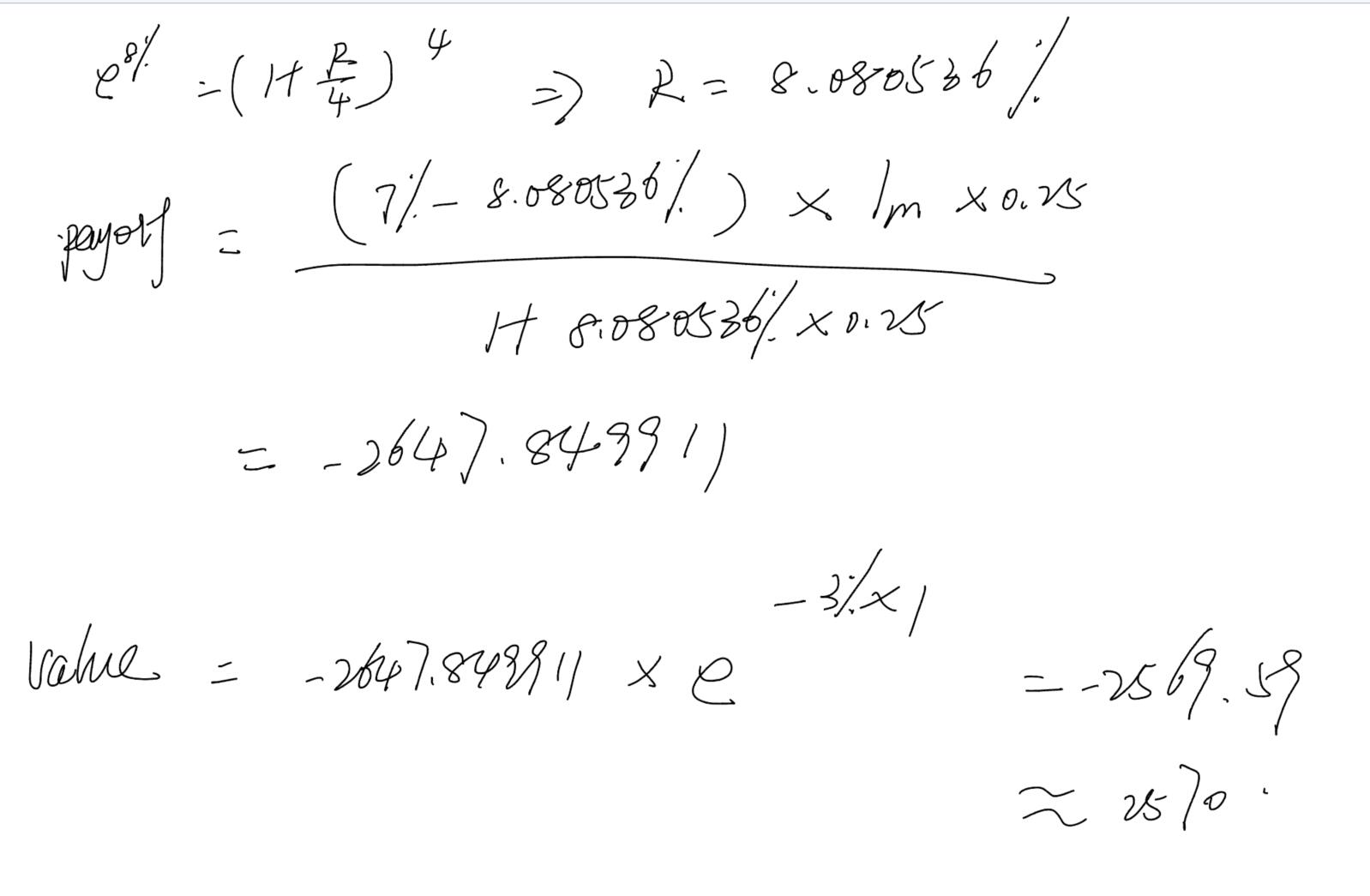
为什么我payoff算出来是-2646.5399 然后最后折现之后为-2568.3228
回答(1)
Adam2023-07-04 16:28:56
同学你好,如下图。
选最接近的值就可以了
- 评论(0)
- 追问(0)
评论
0/1000
追答
0/1000
+上传图片


