天堂之歌

听歌而来,送我踏青云〜

您现在的坐在位置:首页>智汇问答>FRM问答

阿同学2023-07-04 11:06:08

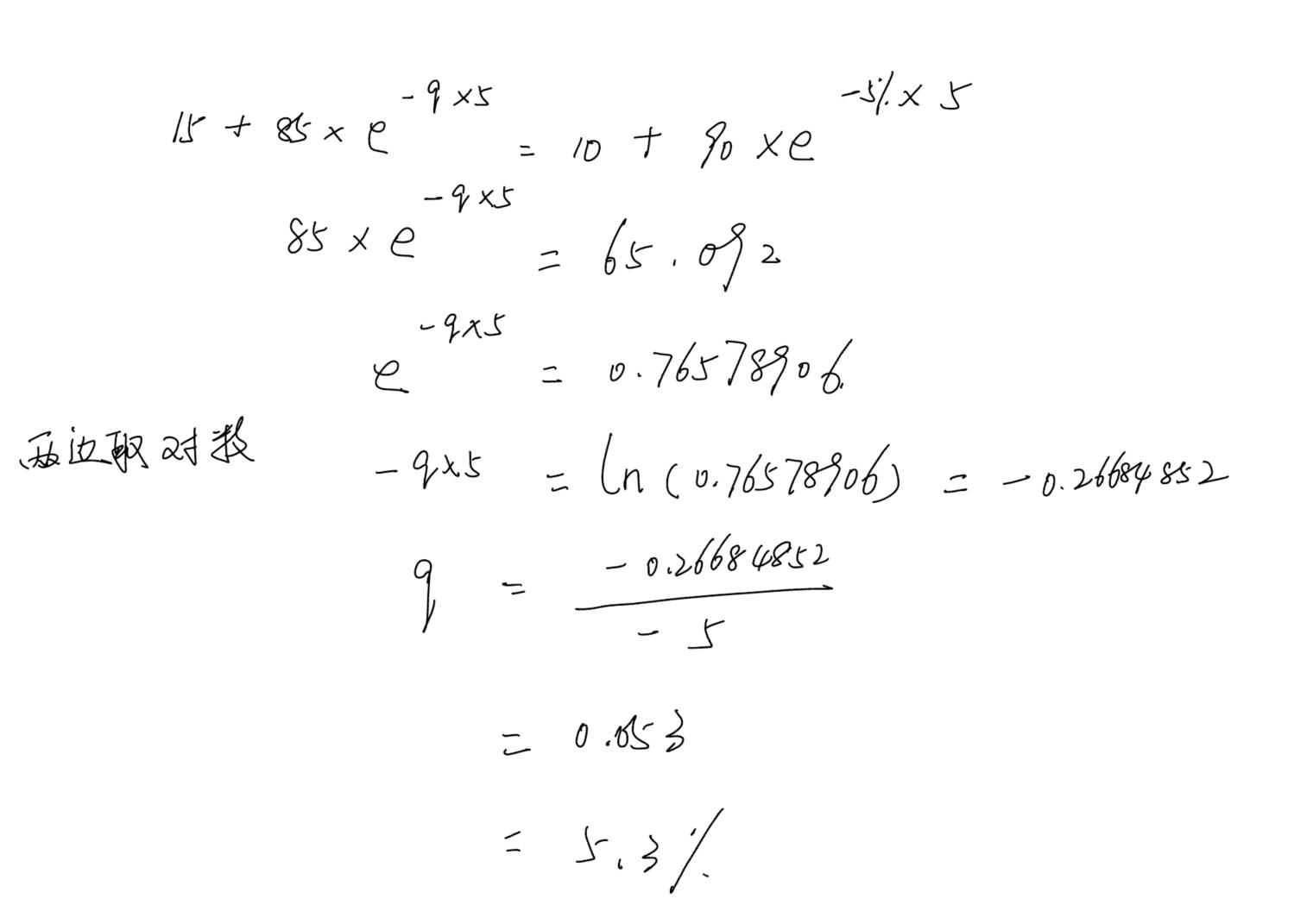
老师,为什么我算出来Q=5.34而非0.0534呢?我的计算过程正确吗?

查看试题

回答(1)

Adam2023-07-04 12:09:10

同学你好,
q后面为什么代%。不用带。

  • 评论(0
  • 追问(0
评论

精品推荐

评论

0/1000

追答

0/1000

+上传图片

    400-700-9596
    (每日9:00-21:00免长途费 )

    ©2026金程网校保留所有权利

    X

    注册金程网校

    验证码

    同意金程的《用户协议》
    直接登录:

    已有账号登录