天堂之歌

听歌而来,送我踏青云〜

您现在的坐在位置:首页>智汇问答>FRM问答

郑同学2023-07-03 22:31:57

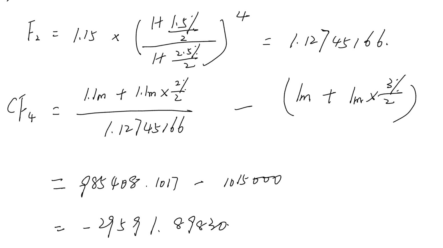
第四笔现金流F2算不来

回答(1)

Adam2023-07-04 11:54:43

同学你好,
注意在货币互换中,最后一笔现金流是:本金+利息,然后进行交换。
所以如下图:

  • 评论(1
  • 追问(0
评论

精品推荐

评论

0/1000

追答

0/1000

+上传图片

    400-700-9596
    (每日9:00-21:00免长途费 )

    ©2026金程网校保留所有权利

    X

    注册金程网校

    验证码

    同意金程的《用户协议》
    直接登录:

    已有账号登录