天堂之歌

听歌而来,送我踏青云〜

您现在的坐在位置:首页>智汇问答>FRM问答

加同学2023-05-07 20:11:25

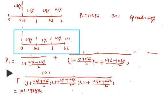
老师,forward rate 表里的begin 和 end 是什么意思,折现为什么用end

查看试题

回答(1)

Lucia2023-05-08 15:18:19

同学你好,是表示过了半年之后的利率,这里老师有讲,可以看一下视频解析哦~

  • 评论(0
  • 追问(0
评论

精品推荐

评论

0/1000

追答

0/1000

+上传图片

    400-700-9596
    (每日9:00-21:00免长途费 )

    ©2026金程网校保留所有权利

    X

    注册金程网校

    验证码

    同意金程的《用户协议》
    直接登录:

    已有账号登录