用同学2023-05-03 00:02:36
想请问这里如果想列式计算这个forward rate要怎么求解呢?能直观理解是8%,但严格算出来是7.8%,不知道为什么?
回答(1)
Lucia2023-05-05 09:56:50
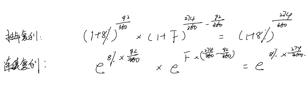
同学你好,它这里没有说明复利方式。
可以这么列
- 评论(0)
- 追问(0)
评论
0/1000
追答
0/1000
+上传图片


