赵同学2023-04-29 23:01:07
a straight line connecting the two assets in expected return standard deviation space,老师,这个B选项什么意思啊?能举个例子么?
查看试题回答(1)
Lucia2023-04-30 22:36:12
这个句子描述了一个连接两个资产在预期收益率和标准差空间中的直线。
具体来说,假设有两个资产A和B,在预期收益率和标准差空间中,可以将它们表示为二维坐标系中的两个点。这条连接两个资产的直线,通常被称为有效边界(Efficient Frontier)。有效边界是投资组合中预期收益率最大、给定风险水平下标准差最小的投资方案。
举个例子,假设资产A的预期收益率为10%,标准差为20%,资产B的预期收益率为15%,标准差为30%。在预期收益率和标准差空间中,可以将资产A和B表示为二维坐标系中的两个点。然后,通过从这两个点画一条直线来得到有效边界,该直线表示所有可能的投资组合,每个投资组合在预期收益率和标准差方面都优于单独持有资产A或B的情况。
有效边界的概念在投资组合理论中很重要,因为它提供了一种方法来确定最佳的投资组合,以实现投资者的收益目标并控制风险水平。
- 评论(0)
- 追问(2)
- 追问
-
B和C什么区别呢,没想明白
- 追答
-
同学你好,
A说的是:相关系数越低,组合的分散化效果越好。
B说的是:两个资产构建的组合,这个组合的风险,不会高于量子产的简单相加。
C说的是:两资产构建的组合,在没有卖空的情况下,组合的风险不会低于风险较低的单个资产
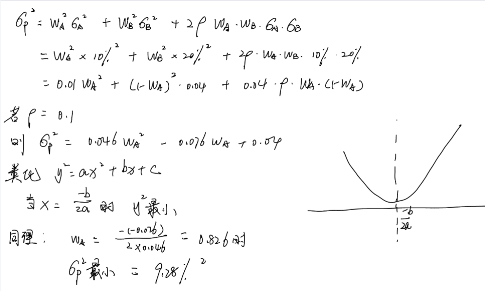
D说的是:两资产构建的组合,总能找到组合风险最低时的简单表达。
AB:根据投资组合标准差的计算公式,相关性越低,整个组合的标准差越小,因此风险越小。组合的风险的最大值,其实就是A和B的风险相加,也就是组合的风险不会超过这个值,而最小值等于AB两个风险相减的绝对值。B选项就是上面提到过的,一个两资产构成的投资组合的风险不可能比这两个资产的总风险加总还要高。
如图1
C选项只需要举反例就可以。解析中的例子如图2
D选项,看图二中的“-b/2a”
评论
0/1000
追答
0/1000
+上传图片


