天堂之歌

听歌而来,送我踏青云〜

您现在的坐在位置:首页>智汇问答>FRM问答

AliceZhou2023-04-26 22:47:55

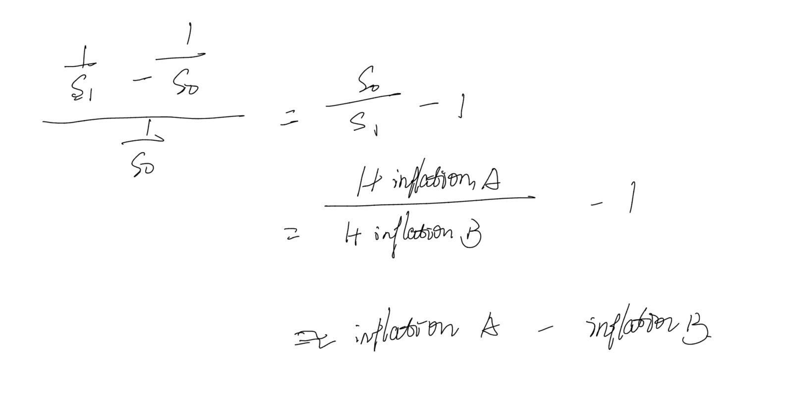
老师,这个购买力平价公式为什么写的跟老师讲的不一样呢,第二张图前面B代表的是国内的,A代表国外的,那跟讲以上的是反着的

查看试题

回答(1)

Adam2023-04-27 11:09:33

同学你好,
这里是老师写的不严谨。
注意说的是:of deomestic spot rate。应该如下

  • 评论(0
  • 追问(0
评论

精品推荐

评论

0/1000

追答

0/1000

+上传图片

    400-700-9596
    (每日9:00-21:00免长途费 )

    ©2026金程网校保留所有权利

    X

    注册金程网校

    验证码

    同意金程的《用户协议》
    直接登录:

    已有账号登录