若同学2023-04-22 17:52:37
是不是搞错了,老师推导的与课件公式相反关于percent strengthening of domestic spot rate
回答(1)
Adam2023-04-23 13:24:41
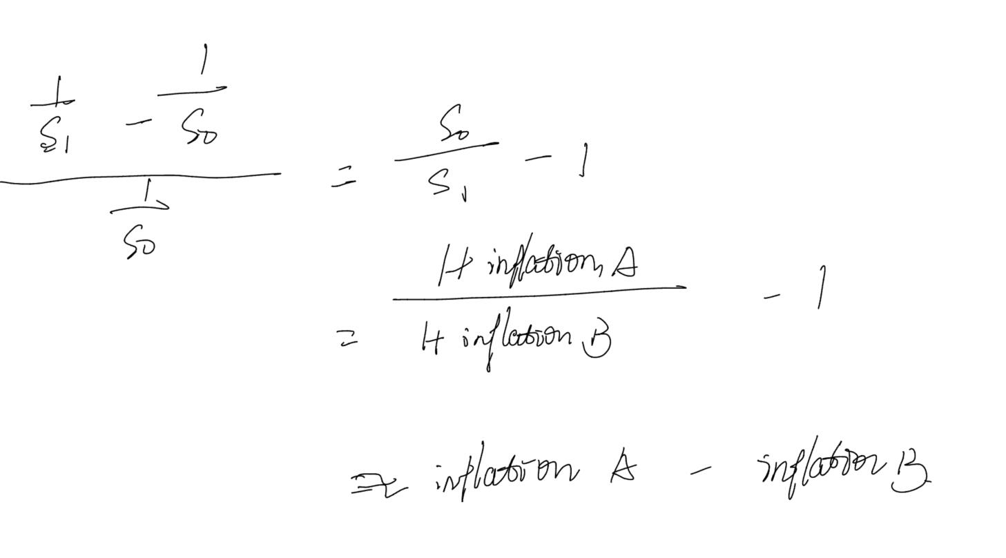
同学你好,
这里是写反了。
注意说的是:percent strengthening of domestic spot rate。
即domestic spot rate,应该是1/S0。
具体分析如下图
- 评论(0)
- 追问(0)
评论
0/1000
追答
0/1000
+上传图片


