138****25592023-04-15 23:59:33
这里的money market yield的计算式能给一下吗?我按照网上查到的定义,计算出来第20题的答案是A。请老师指正。
回答(1)
Lucia2023-04-17 16:42:58
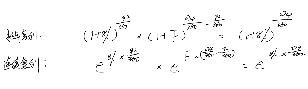
同学你好,这道题可以把money market yield看作是即期利率,计算过程就如下图
- 评论(0)
- 追问(0)
评论
0/1000
追答
0/1000
+上传图片


