天堂之歌

听歌而来,送我踏青云〜

您现在的坐在位置:首页>智汇问答>FRM问答

胡同学2023-04-15 16:33:46

麻烦看看我计算器按键的方法到底哪个是正确的,还是都是错误的,怎么同一种按键会得到正确和错误两种答案?

查看试题

回答(1)

Adam2023-04-15 17:12:49

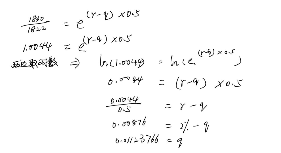
同学你好,第一个关于e的计算,全错。这里根本不涉及开0.5的根号。
如图1.

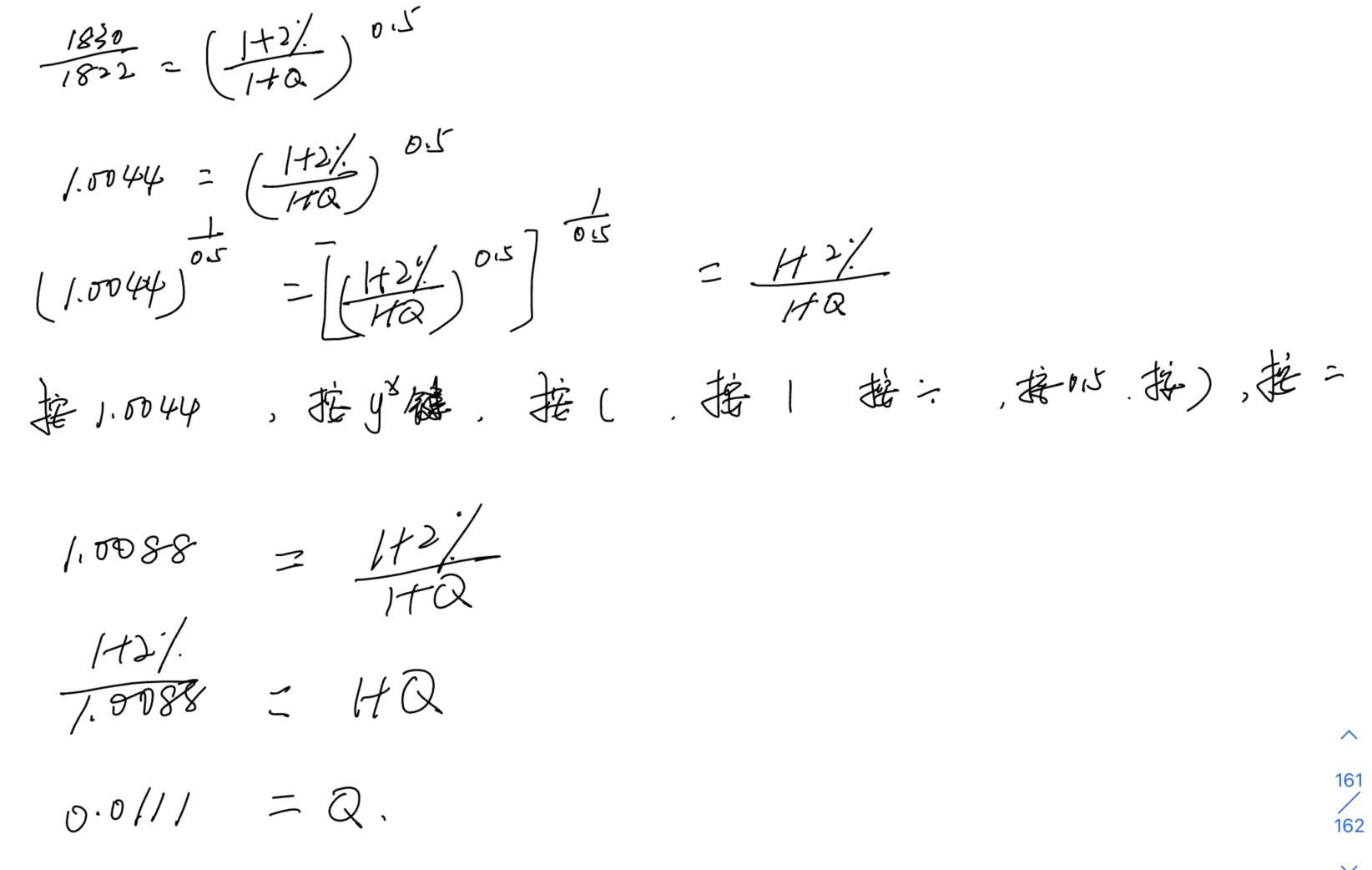
第二个关于1+R的计算,方法1是正确的。
方法2需要带括号才行。具体过程我在图2中写了。

  • 评论(0
  • 追问(0
评论

精品推荐

评论

0/1000

追答

0/1000

+上传图片

    400-700-9596
    (每日9:00-21:00免长途费 )

    ©2026金程网校保留所有权利

    X

    注册金程网校

    验证码

    同意金程的《用户协议》
    直接登录:

    已有账号登录