阿同学2023-04-14 15:02:43
alpha不是excess return吗和rf有什么关系,rf怎么还会增加了
回答(1)
Lucia2023-04-17 08:57:37
同学你好,计算过程如下
- 评论(0)
- 追问(6)
- 追问
-
有一题是92/360 和 274/360 interest rate是8,182/360 rate。当时你们的答案是直接=8,因为 flat structure。但是如果是upward或者downward应该怎么求,money market yield的知识点在哪
是你们的题,但是我只有笔记找不到原题
- 追问
-
coupon effect是说duration与maturity正比,与coupon和yield反比
那yield和coupon是什么关系
yield和discount factor是反比吗
- 追问
-
Cheapest和CtD是一个概念吗
Ctd是公式计算,Cheapest是最便宜的PV
- 追答
-
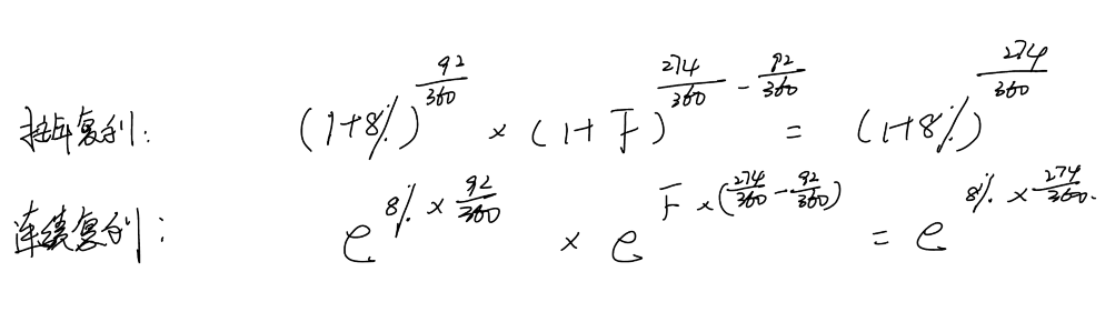
同学你好,这道题可以把money market yield看作是即期利率,计算过程就如下图
- 追答
-
同学你好,这里是在解释票息效应,有着相同期限的不同票息的债券有着不同的到期收益率。
在利率是向上倾斜的情况下,如果前期收到的现金流增加,向上倾斜的利率在前期利率是低的,拿去再投资的资金越多,那么回报越低,因为前期利率低,所以YTM低。
在利率向下倾斜的情况下,前期利率高,coupon上升,再投资回报高,YTM升高。
息票利率就是票面利率,这个是在发行时就约定好每年或每半年等面值(一般是100元)支付给你的利息。所以发行后就不在随意变动了(即使是浮动利率也是约定好了,变化多少,怎么变动)。
而到期收益率就是按交易现价计算出的收益率。
在价格相同的情况下,息票率越高,到期收益率越高。实际上对于信用级别差不多的债券,到期收益率都差不多。这样息票率高的价格也高,反之亦然。
- 追答
-
Cheapest和CtD是一个概念吗
Ctd是公式计算,Cheapest是最便宜的PV
你理解的对
评论
0/1000
追答
0/1000
+上传图片



