阿同学2023-04-13 09:43:28
用计算器求的I/Y算出来的为什么是7.25
回答(1)
Adam2023-04-13 14:57:12
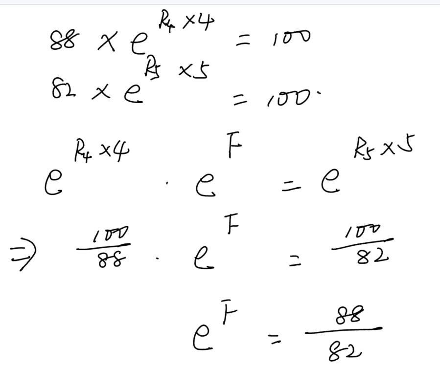
同学你好,可能你计算错了。
计算过程如下。
按88,按÷,按82,按=,按ln,就得到了F=0.07061757
- 评论(0)
- 追问(0)
评论
0/1000
追答
0/1000
+上传图片


