回答(1)
ES2023-04-06 09:47:42
同学,你好
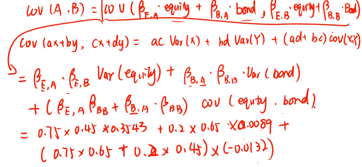
covariance在multivariate random variables这一章~
这道题其实就用了一个公式
cov(ax+by, cx+dy)=ac*var(x)+bd*var(y)+(ad+bc)cov(x,y)
加油,祝你顺利通过考试~
【点赞】👍让我们知晓您对答疑服务的支持~
- 评论(0)
- 追问(0)
评论
0/1000
追答
0/1000
+上传图片

