回答(1)
最佳
Lucia2023-02-26 18:24:18
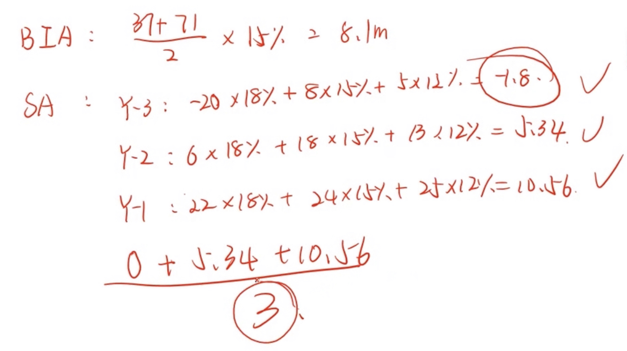
同学你好,计算如下
- 评论(0)
- 追问(2)
- 追问
-
18% 15% 12%是怎么来的呢?为什么-1.8不能取,只能取0?还有BIA和SA是啥意思呀?
- 追答
-
同学你好,这是估值里操作风险讲的巴塞尔协议BIA资本金的计算方法,课件如下:
评论
0/1000
追答
0/1000
+上传图片



