AliceZhou2023-02-14 13:01:23
老师,convexity和modified convexity不区分吗?1/(1+y) ^2*框准确来说不应该是调整过的凸性嘛
回答(1)
Lucia2023-02-15 10:50:56
同学你好
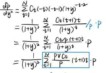
1、convexity和modified convexity是区分的,两者公式都是不相同的,修正凸性类似于修正久期是经过利率调整的凸性。
- 评论(0)
- 追问(5)
- 追答
-
2、1/(1+y) ^2*框准确来说不应该是调整过的凸性嘛
不是的哈,这一部分是求导结果的一部分,凸性是债券价格对于利率的二阶导,经过求导之后的结果就是如老师板书上所写的结果。
- 追问
-
老师,你能在图上画一下哪个是凸性哪个是调整的凸性吗?
- 追答
-
同学你好,经过调整的凸性是修正凸性modified convexity,不是convexity哦,你图中所写公式是美元凸性哦。
- 追问
-
对呀,那老师写的为什么直接写了个C*P,不应该是调整的凸性*p吗?
- 追答
-
同学你好,这个红框圈出来的表示convexity
评论
0/1000
追答
0/1000
+上传图片




