回答(1)
Lucia2022-10-03 17:21:56
同学,你好,这道题是EWMA模型,variance的系数也是和这道题目一样的计算方式,系数是如下图。
- 评论(1)
- 追问(2)
- 追问
-
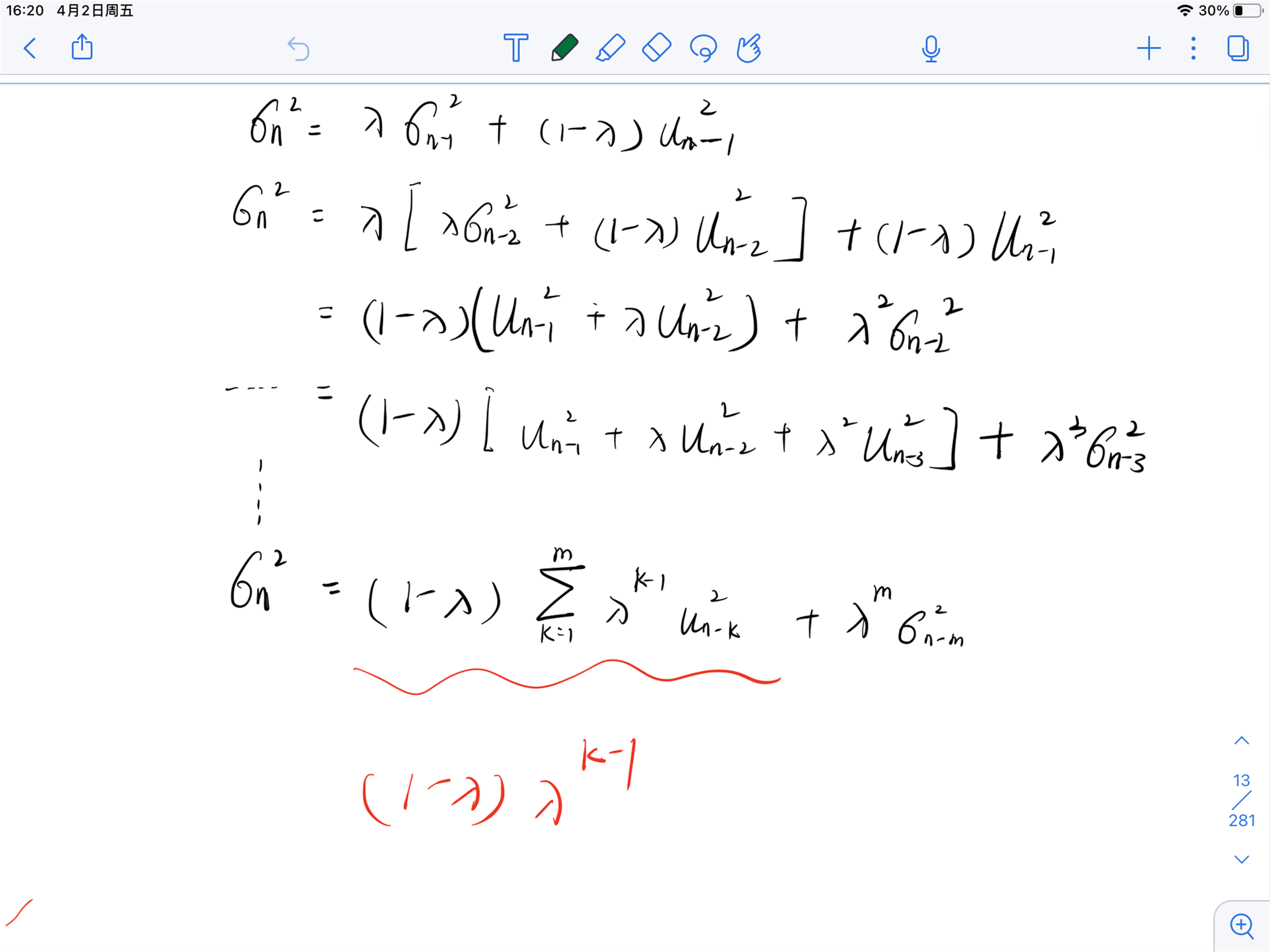
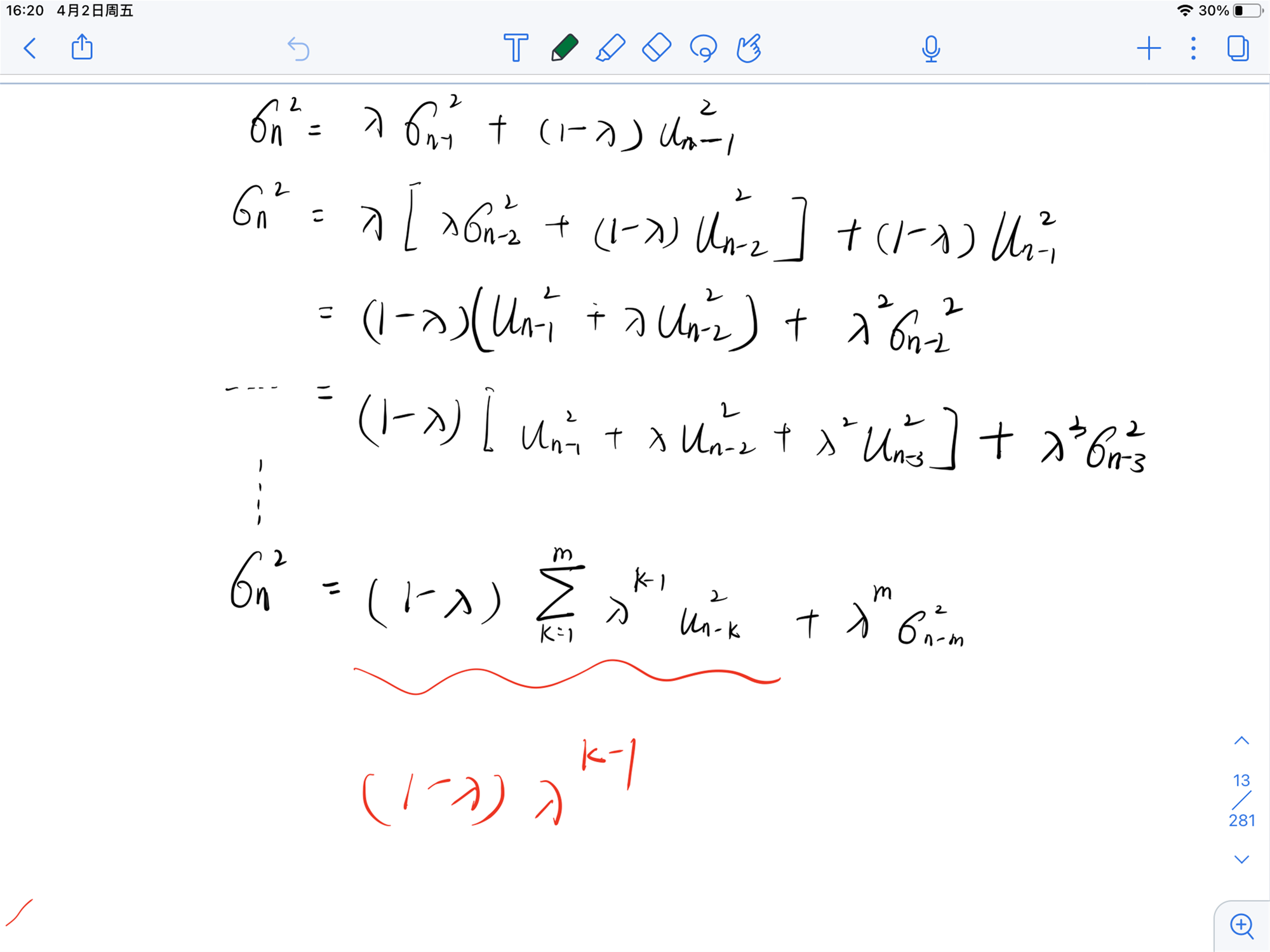
老师还是不太理解,第n天的波动率,只与第n-1天的mean和方差有关吗?如果是的话,那第n-1天的是与n-2(the day before yesterday)有关,这方程写出来算不出来答案的。但如果我理解错了,那EWMA式子我就不理解了。
- 追答
-
同学,你好,是这样
评论
0/1000
追答
0/1000
+上传图片



