周同学2022-09-11 20:59:10
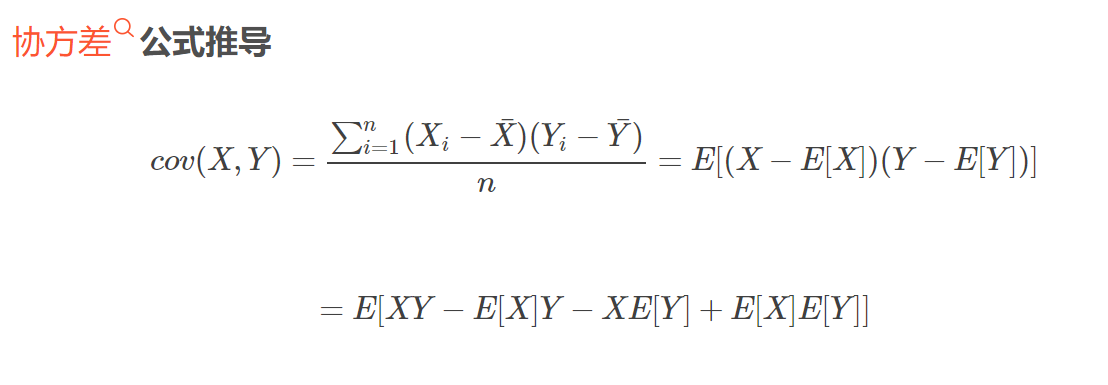
老师,可以推一下这个式子吗,从定义式到计算式 谢谢
回答(1)
最佳
Lucia2022-09-12 21:19:41
同学,你好,推导如下
感谢正在备考中乘风破浪的您来提问~如果您对回复满意可【点赞】鼓励您更加优秀,您的声音是我们前进的动力,祝您生活与学习愉快!~
- 评论(0)
- 追问(0)
评论
0/1000
追答
0/1000
+上传图片



