$_$2022-08-31 13:14:22
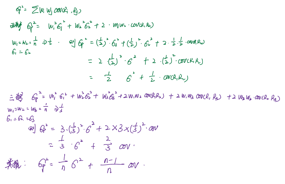
老师好,这边公式的推导不是太明白,麻烦可以写得具体一些吗?然后为什么这个公式里面不用加WA^2QA^2这种项了呢?
回答(1)
最佳
Adam2022-08-31 13:39:10
同学你好,大致的过程如下
- 评论(0)
- 追问(0)
评论
0/1000
追答
0/1000
+上传图片



