方同学2022-08-30 00:33:23
请问表中bondA的凸性是怎么得到的,我以德尔塔y等于50bp计算,可以得到p+是93.17,p-是97.66,进而算出久期是表中的4.706,但是无法算出同样的凸性。麻烦老师以具体的数字解答一下
回答(1)
最佳
Adam2022-08-30 10:08:33
同学你好,你使用50bp去计算有效凸性是可以的,算出来大概是25.1123.
有效凸性是对凸性的近似估计。
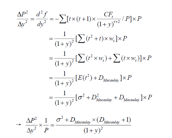
这题中给的凸性,是根据凸性的最基本定义得出来的。考试也不考察。过程大致如下【这里用的是按年复利】
- 评论(0)
- 追问(0)
评论
0/1000
追答
0/1000
+上传图片

