幸同学2022-08-28 01:10:51
绿色处公式在哪讲过,什么意思
回答(1)
Adam2022-08-29 13:29:44
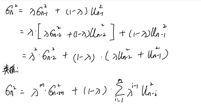
同学你好,老师在课上讲EWMA的时候,进行了推导。
表示的是第i天前,收益率平方的权重是:图中公式
- 评论(0)
- 追问(0)
评论
0/1000
追答
0/1000
+上传图片


