ty2022-08-26 10:06:18
第二题,这个折的方法有什么讲究吗?为啥是先折一年远期,再折一年即期?
回答(1)
Adam2022-08-26 11:44:40
同学你好,这个其实没什么讲究。
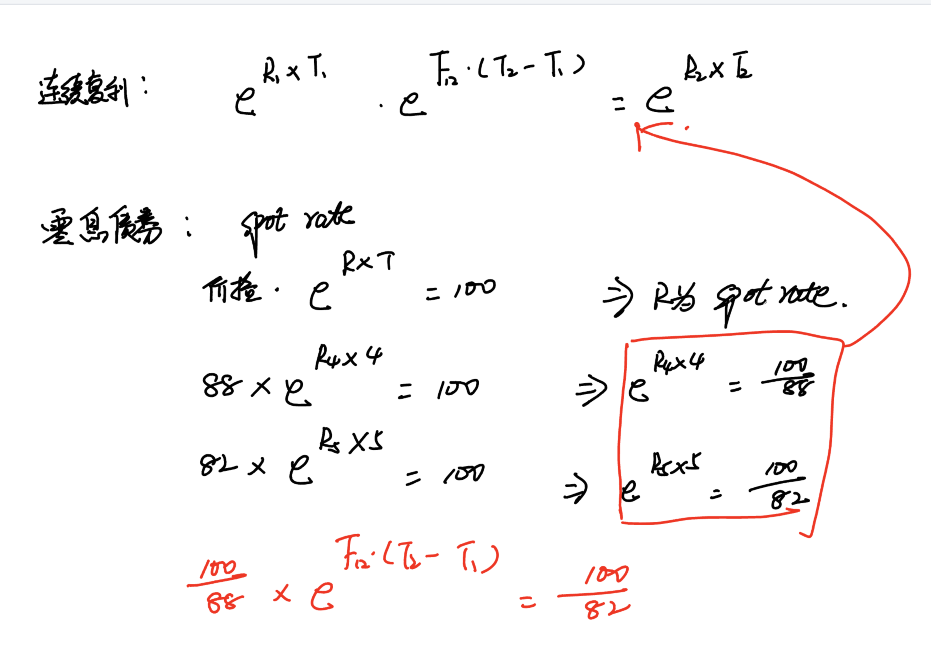
建议这样来理解:如下图。
第一行是:连续复利形式下spot rate与forward rate之间的关系。
下面的是:零息债券的spot rate的求解
- 评论(0)
- 追问(0)
评论
0/1000
追答
0/1000
+上传图片

