小同学2022-08-25 23:00:22
老师好,请问能否解答下此题,谢谢
回答(1)
Adam2022-08-26 11:13:56
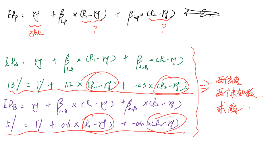
同学你好,这个就是APT模型的应用呀。
组合是充分分散化的,rf=1%、
两个方程,求解RP1/RP2,然后带入到APT中
- 评论(0)
- 追问(0)
评论
0/1000
追答
0/1000
+上传图片



