幸同学2022-08-24 02:09:06
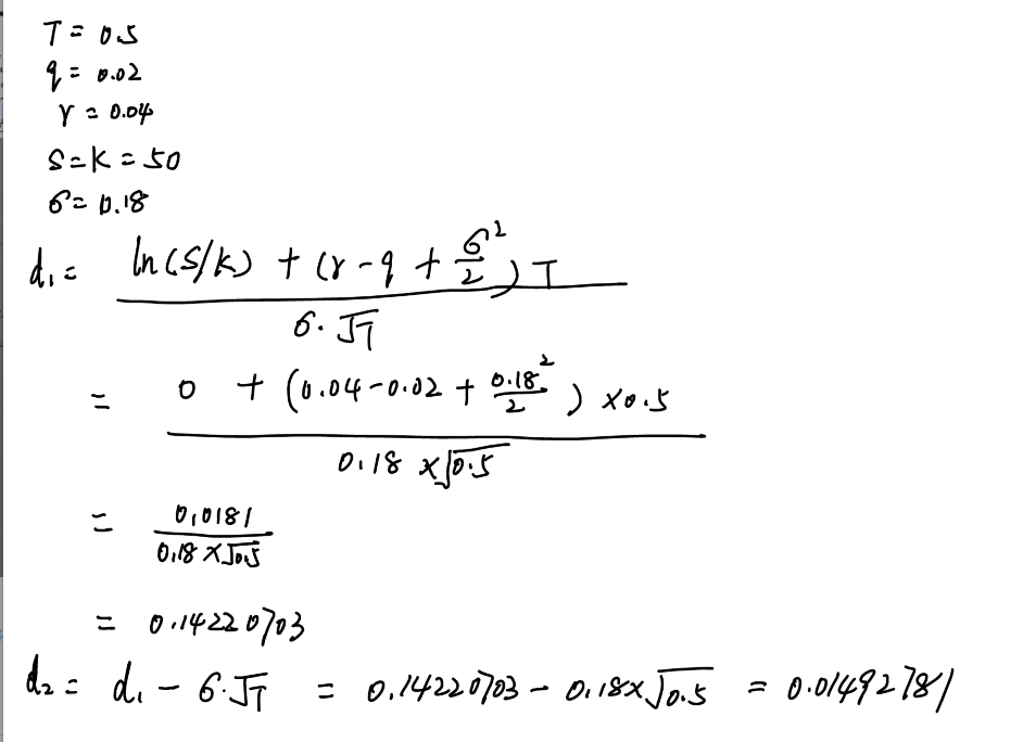
老师这个题我用的公式是对的但是得数不对,是哪里误差太大了吗,查表那个地方我和答案上查表的得数不一样啊
回答(1)
最佳
Adam2022-08-24 16:45:00
同学你好,你这个误差还是挺大的呀,。
过程如下
- 评论(0)
- 追问(1)
- 追答
-
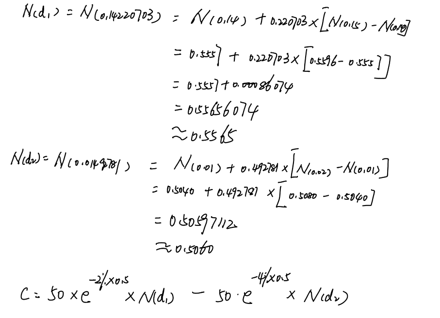
多位小数的查表,采用线性插值法
N(0.14220703)=N(0.14)+0.220703*【N(0.15)-N(0.14)】
N(0.15):先看左侧第一列,找到X=0.10的这一行。然后看上方第一行,找到x=0.05这一列。二者交叉值就是N(0.15)。
N(0.14)也是同样的道理
评论
0/1000
追答
0/1000
+上传图片





