小同学2022-08-23 11:29:39
老师好,请问能否解答下此题,谢谢。
回答(1)
最佳
Adam2022-08-23 15:16:59
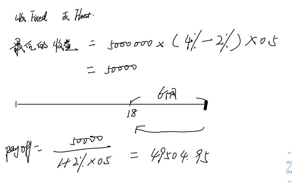
同学你好,如下图。
他进入的FRA是,18个月后开始,进行为期6个月的借贷。
FRA中的固定利率是4%(收),实际是2%(支),所以最后的利息差是:本金*(4%-2%)*0.5.
settlemen就是将24时的利息差折现到18时。
- 评论(0)
- 追问(2)
- 追问
-
请问折现的利率是如何选择的呀,谢谢。
- 追答
-
同学你好,选择实际利率进行折现。
4%是合同利率,不用
评论
0/1000
追答
0/1000
+上传图片


