γ2022-08-22 15:07:21
老师,请问这一题求概率为什么用标准差
回答(1)
Adam2022-08-22 17:02:11
同学你好,因为cov的计算需要ρ、各自的标准差。
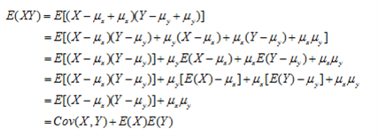
COV(X,Y)=E(XY)-E(X)E(Y)的变形,就变成了:E(XY)=E(X)E(Y)+COV(X,Y)
这个算是一个特殊情况。
当然因为这里说了两债券独立,所以协方差项=0,所以直接是:EXY=EX*EY。
E(XY)只是看做了X和Y两个债券同时违约的概率的期望值,本质上还是算P(AB)。
- 评论(1)
- 追问(0)
评论
0/1000
追答
0/1000
+上传图片


