小同学2022-08-18 15:50:30
老师好,帮忙看下我列的式子为什么不对,应该怎么计算,谢谢。
回答(1)
Adam2022-08-18 15:56:24
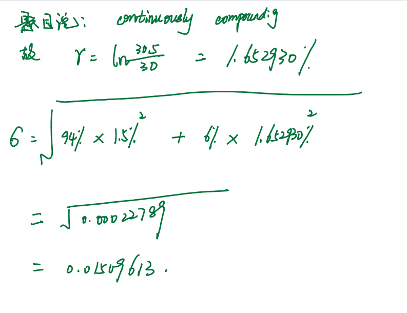
同学你好,你的收益率计算错了。
公式列的是对的.
其次由于选项数值比较接近,所以收益率最好多保留几位小数,这样才准确一些
- 评论(1)
- 追问(0)
评论
0/1000
追答
0/1000
+上传图片


