羽同学2022-08-16 01:03:01
请问能将货币互换估值的这个方法列出详细公式吗?
回答(1)
Adam2022-08-16 09:51:30
同学你好,
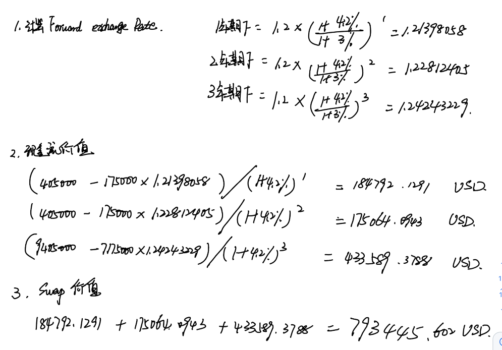
这个份需要具体的例子,
可以以8-14的例题为例,计算如下:
- 评论(0)
- 追问(0)
评论
0/1000
追答
0/1000
+上传图片


