向同学2022-08-15 21:53:44
老师好,请问b选项是什么意思啊?
回答(1)
最佳
Adam2022-08-16 13:20:18
同学你好,
这里说的是:在EWMA模型中,随着观测值变老,观测值的权重呈指数级下跌。
这里说的观测值的权重,一般说的是收益率平方前面的权重。
这个没什么问题。
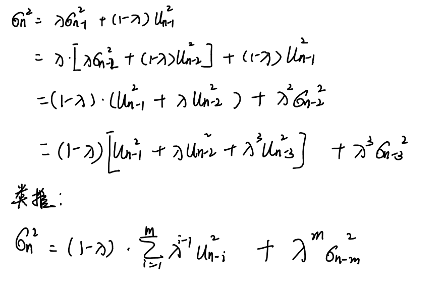
如下图
过去1天收益率平方前面的权重是:(1-λ)
过去2天收益率平方前面的权重是:(1-λ)*λ
过去3天收益率平方前面的权重是:(1-λ)*λ^2
过去4天收益率平方前面的权重是:(1-λ)*λ^3
由于0<λ<1,所以λ的指数,是下降的。所以说呈现指数型下跌
- 评论(0)
- 追问(0)
评论
0/1000
追答
0/1000
+上传图片


