小同学2022-08-15 01:48:57
老师能否讲解423,图是怎样的,为什么呢
回答(1)
最佳
Adam2022-08-15 10:38:27
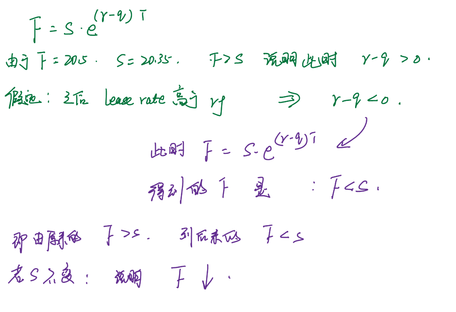
同学你好,如下图
- 评论(0)
- 追问(2)
- 追问
-
谢谢,请问此时的图是怎样的呀。
- 追答
-
F价格走低
评论
0/1000
追答
0/1000
+上传图片



