向同学2022-08-13 14:47:44
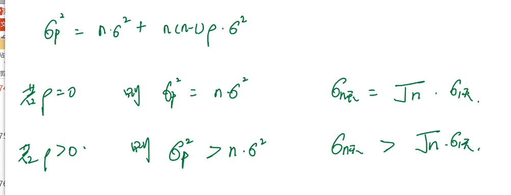
老师好,请问为什么当价格呈现趋势时,就可以用squre root of time rule
回答(1)
最佳
Adam2022-08-15 13:07:17
同学你好,不是,你理解错了。
这里说的是:价格呈现趋势的时候(今天涨明天涨,这就是趋势,相关系数大于0),此时算出的var,比平方根法则计算出的VAR更大(因为平方根法则假定的是相关系数=0)
- 评论(0)
- 追问(0)
评论
0/1000
追答
0/1000
+上传图片


