向同学2022-08-11 17:01:41
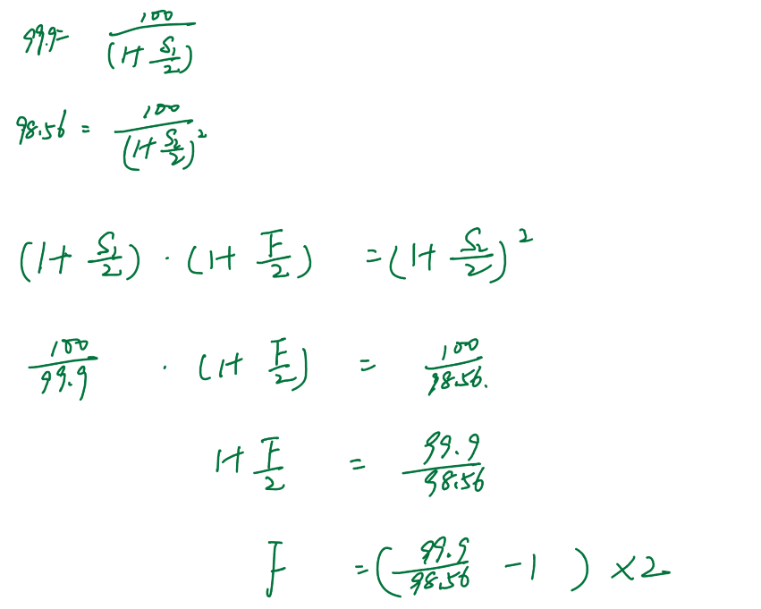
老师好请问这道题为什么不是我这样算的?
回答(1)
最佳
Adam2022-08-11 17:26:17
同学你好,你的思路没什么问题,
细节上处理的不对。
- 评论(0)
- 追问(0)
评论
0/1000
追答
0/1000
+上传图片



