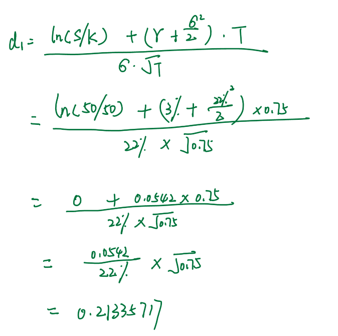
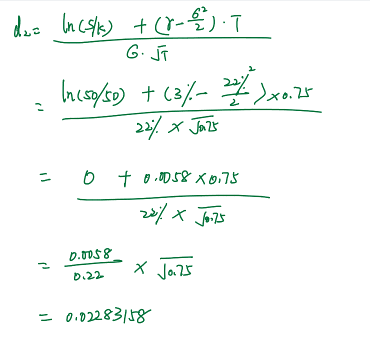
Alex2022-08-11 16:00:30
老師d1和d2可以計算一次給我看嗎?我代入數字去計算計不了答案,不知那裏出錯
回答(1)
Adam2022-08-11 16:13:32
同学你好,如下图
- 评论(0)
- 追问(2)
- 追问
-
謝謝老師我知道那裏錯了🙏🙏
- 追答
-
OK,不客气哈
评论
0/1000
追答
0/1000
+上传图片



