天堂之歌

听歌而来,送我踏青云〜

您现在的坐在位置:首页>智汇问答>FRM问答

17****682022-08-05 16:38:30

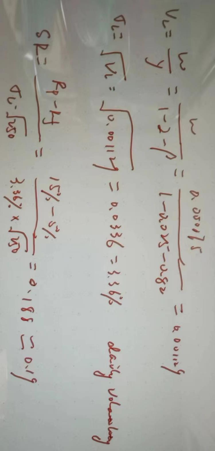
这题一个garch怎么又牵扯到夏普和泰勒比率了?能不能分析下a与d选项

查看试题

回答(1)

Cindy2022-08-05 20:35:34

同学你好,计算过程如下,请看下图,D答案算不了,题目信息不够……

  • 评论(1
  • 追问(0
评论

精品推荐

评论

0/1000

追答

0/1000

+上传图片

    400-700-9596
    (每日9:00-21:00免长途费 )

    ©2026金程网校保留所有权利

    X

    注册金程网校

    验证码

    同意金程的《用户协议》
    直接登录:

    已有账号登录