回答(1)
Lucia2022-08-05 16:30:27
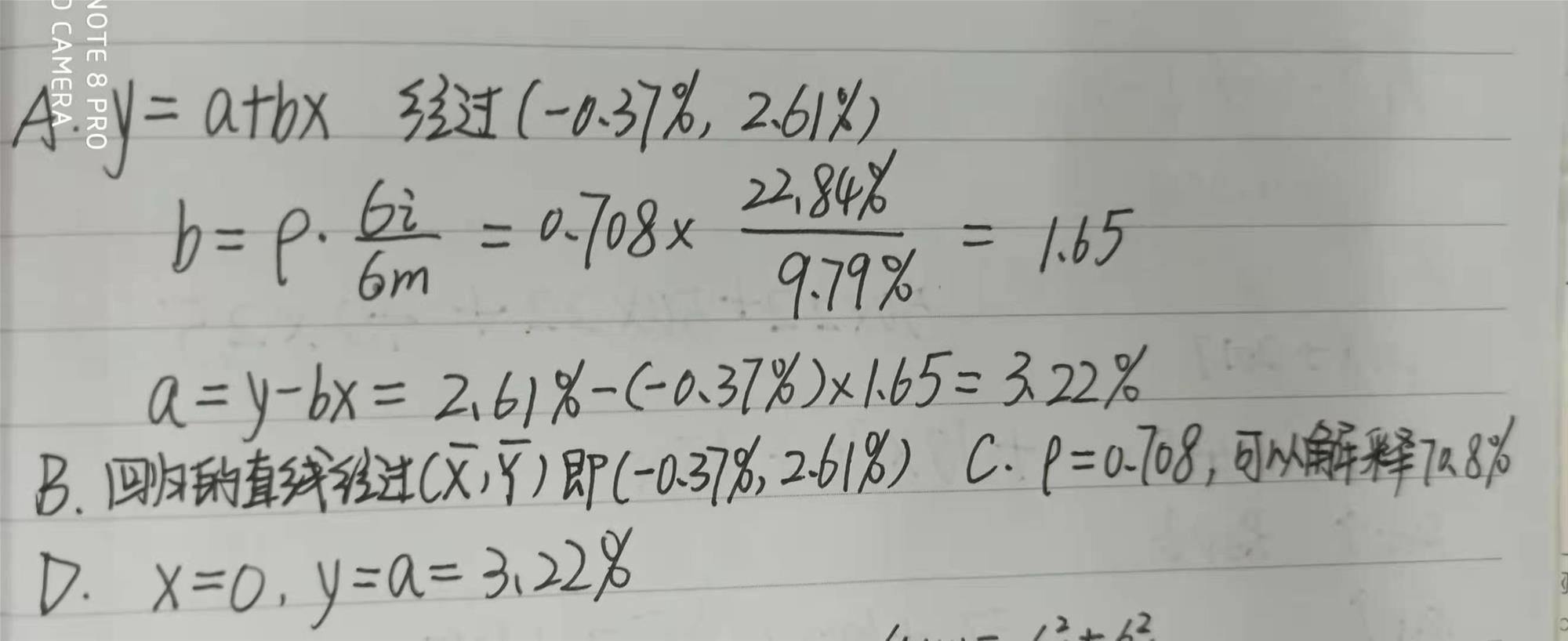
同学,你好,看下图
- 评论(0)
- 追问(2)
- 追问
-
回归线为啥一定会经过x.y的均值?
- 追答
-
同学,你好,这是最小二乘法的性质决定的。最小二乘法本质就是算出散点的回归斜率,再利用x和y的均值,通过点斜式写出回归直线,其中“点”即为(x均值,y均值),自然必过x的均值和y的均值这一点
评论
0/1000
追答
0/1000
+上传图片



