天堂之歌

听歌而来,送我踏青云〜

您现在的坐在位置:首页>智汇问答>FRM问答

陈同学2022-08-05 14:23:00

结果怎么得来的?自己算不出来啊

查看试题

回答(1)

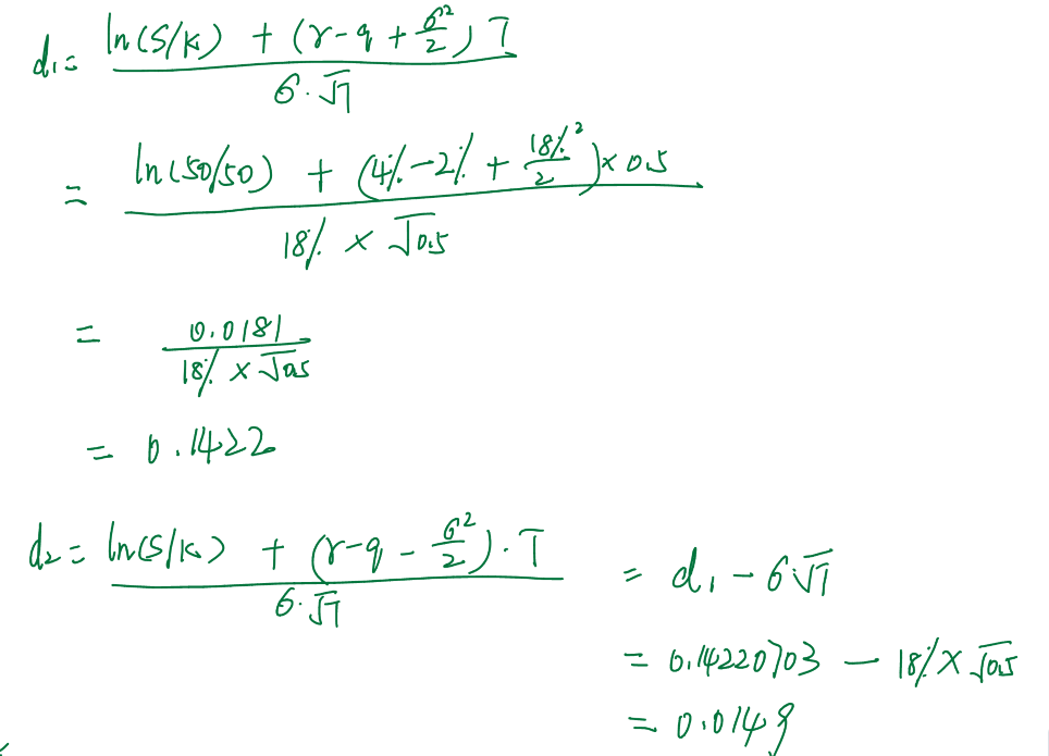
Adam2022-08-05 15:34:21

同学你好,
如下图,你的d1、d2计算错了。
有红利的时候,d1、d2里也是有q的。

  • 评论(0
  • 追问(0
评论

精品推荐

评论

0/1000

追答

0/1000

+上传图片

    400-700-9596
    (每日9:00-21:00免长途费 )

    ©2026金程网校保留所有权利

    X

    注册金程网校

    验证码

    同意金程的《用户协议》
    直接登录:

    已有账号登录