幸同学2022-08-05 04:57:28
这个题说复制后 波动率两倍 不应该是2✖️百分之19吗,为啥为2。19波动率有用吗,这个题如果不用两倍关系可以正常做吗
回答(1)
Adam2022-08-05 11:59:52
同学你好,
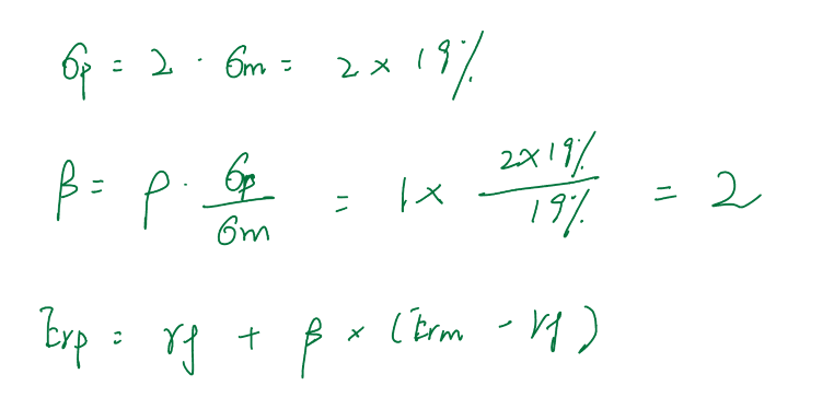
1:对的,是2*19%。
2:有用,不然算不出来beta。
3:不可以。因为你不知道beta里面的sigmaP是多少
如下
- 评论(0)
- 追问(0)
评论
0/1000
追答
0/1000
+上传图片


