幸同学2022-08-05 04:44:58
这个题每个字母可以反映出资产配置的权重对吗,怎么看出80;20和10;90的呢和横纵坐标有关系吗
回答(1)
Adam2022-08-05 11:42:26
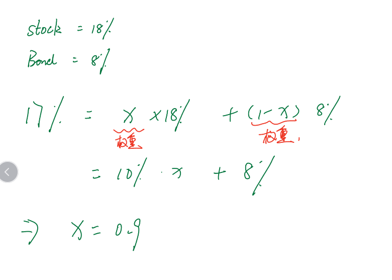
同学你好,看纵坐标
是大致可以看出来的。
0.9的股票,0.1的债券,组合收益率是17%。
而w恰好在18%与16%之间,
所以可以判断出w点是:0.9的股票+0.1的债券
- 评论(0)
- 追问(0)
评论
0/1000
追答
0/1000
+上传图片


