向同学2022-08-04 15:54:41
老师好感觉这道题整个没有怎么看懂。可以整个讲解一下吗?期权的价格是46是怎么得出来的?
回答(1)
Cindy2022-08-04 21:08:31
同学你好
其实求权证发行成本,就是求它的价格,将价格乘以数量,得到的就是总成本了,这里数量是2million这么多,
而价格,是有专门的计算公式的,权证的价格就等于(N/N+M)*call =(50/50+2)*46=44.2308.接着再乘以数量2million,就是总成本44.2308*2=88.46million,
这里M表示的是新发行的股份数,N表示的是原先就已经发行的股份数
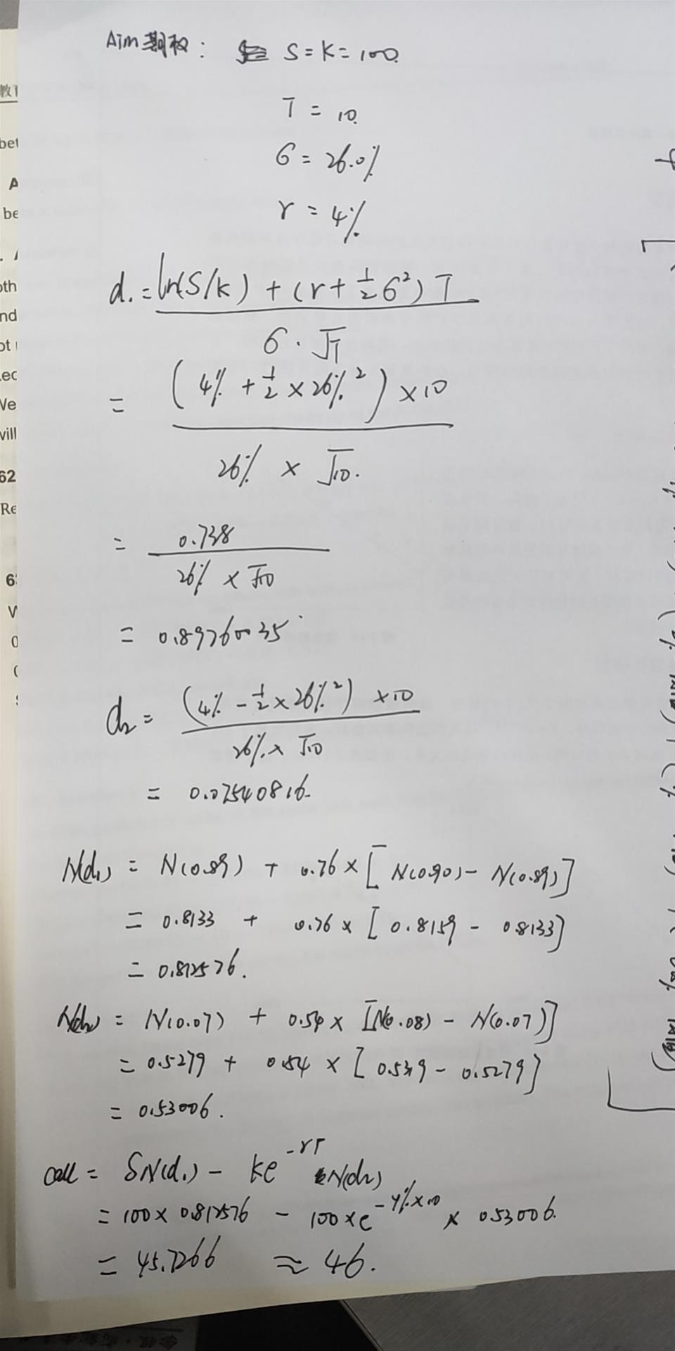
46指的是看涨期权的价格,这个价格是可以通过BSM模型解出来的,请看下图
- 评论(0)
- 追问(0)
评论
0/1000
追答
0/1000
+上传图片



